TP-LINK в Украине – успех в условиях падающего рынка
Прошедший год оказался нелегким для экономики Украины в целом и для рынка потребительской электроники в частности (подробнее). Тем не менее компании удалось продать больше 900 тысяч единиц оборудования в 2015 году, увеличив общую инсталлированную базу устройств TP-LINK до 15 миллионов. Такие показатели были достигнуты в условиях значительного падения рынка и несмотря на агрессивную ценовую политику некоторых конкурентов.
В итоге TP-LINK даже удалось перевыполнить план, и фактический объем продаж по итогам года оказался несколько выше, чем прогнозировалось перед началом отчетного периода. А еще, у команды TP-LINK в Украине получилось обеспечить рост продаж в сегменте бизнес-устройств за счет успешного участия в открытых тендерах на поставку оборудования для корпоративных проектов.
Конечно, в 2015 году украинцы не могли позволить себе покупать дорогие устройства, поэтому основную долю продаж (более половины) составило беспроводное сетевое оборудование начального уровня, а именно, недорогие модели роутеров стоимостью 400-500 грн, которые использовались в основном для создания новой инфраструктуры подключения к сети Интернет.
Несмотря на кризисную ситуацию, в 2015 году компания вывела на рынок Украины новое оборудование – роутеры, точки доступа и адаптеры стандарта Wi-Fi 802.11ac, мобильные роутеры для работы в сетях 3G и внешние аккумуляторы различной ёмкости.
Некоторые обзоры нового оборудования TP-LINK вы можете прочитать на нашем сайте:
Обзор двухдиапазонного маршрутизатора TP-LINK Archer C8Три причины приобрести роутер TP-LINK Archer C2Миниобзор Wi-Fi USB-адаптера TP-LINK Archer T4UHОбзор мобильного роутера TP-LINK M5350TP-LINK TL-PB10400 – экспресс-обзор портативного аккумулятора
Многие страны и бизнесы проигрывают битву с IT, и Украина — среди них
В 2011 году рынок космических запусков был разделен между международной компанией Sea Launch, в которой также участвовали украинские КБ «Южное» и «Южмаш», Китаем, Россией и Европой. В 2018 году монополистом на этом рынке станет американская компания SpaceX Илона Маска. Она смогла предложить миру одну невероятную инновацию: космическая ракета возвращается на Землю и потом ее можно повторно отправлять в космос.
В 2013 году на долю SpaceX приходилось менее 10% космических запусков, а всего через 5 лет она нарастила этот показатель до более чем 60%.
Такой гигантский рост стал возможен благодаря инновациям. Американцы выиграли, украинские КБ «Южное» и «Южмаш» проиграли. Россия, которая всегда так гордилась статусом космической державы, стремительно его теряет.
Идеальный шторм
Глобальный дефицит на рынке микросхем, возникший на волне повышенного спроса и продолжающийся на протяжении нескольких последних месяцев, грозит вылиться в затяжной кризис, который серьезно ударит по выручке ведущих мировых производителей автомобилей и электроники. Ажиотажный спрос ведет к неконтролируемому росту закупочных цен на чипы, и в итоге может больно ударить по кошелькам потребителей, предупреждают аналитики.
По данным свежего прогноза J.P. Morgan, объемы поставок полупроводников в настоящее время на 10-30% ниже уровня спроса, и потребуется минимум три-четыре квартала чтобы предложение догнало спрос, а затем еще один-два квартала на восстановление складских запасов клиентов и каналов сбыта до их нормального уровня.
Ключевыми факторами повышенного спроса на полупроводниковые изделия аналитики считают увеличение продаж электроники на фоне пандемии COVID-19, ограниченные возможности производителей для удовлетворения повышенного спроса, а также сохраняющееся экономическое противостояние между США и Китаем.
Wi-Fi 6 и 5G
Новые стандарты связи и беспроводного интернета, с одной стороны, помогают работать удаленно из одной точки на высокой скорости, с другой — способствуют развитию интернета вещей и искусственного интеллекта, сделают передачу данных более безопасной.
Главные преимущества, которые обеспечивает 5G:
- Улучшенная мобильная широкополосная связь: скоростная передача потокового видео в соцсетях и онлайн-сервисах с минимальными задержками в передаче сигнала (всего 1–2 мс);
- Масштабный интернет вещей: по данным Accenture, с помощью 5G станет возможна поддержка до 1 млн устройств на кв км;
- Критически важные сервисы. Новый стандарт связи обеспечит бесперебойную работу автономных беспилотников или удаленных отделений интенсивной терапии.
С помощью 5G многие сотрудники смогут окончательно перейти на удаленную работу, а компании — быстрее принимать решения, основываясь на аналитике потоковых данных. С 2021 по 2025 годы технология принесет экономике США до $2,7 трлн и до 16 млн рабочих мест.
Новый стандарт Wi-Fi 6 добавит новую частоту 6 ГГц к двум уже имеющимся — 2,4 и 5 ГГц. Он преследует те же цели, что и 5G: помогает ускорить интернет-соединение (до 2 Гб/сек для мобильных устройств), сделать его более стабильным и широкополосным — к одной точке можно будет подключить еще больше устройств. При этом сеть сама будет распределять интернет-трафик между устройствами, в зависимости от их мощности.
Специалисты Cisco называют главные :
- поддержка новых сервисов и приложений — включая высоконагруженные — в рамках локальной сети;
- более высокая скорость и уровень обслуживания уже имеющихся сервисов (например, потоковое видео в 8К);
- возможность обслуживать больше клиентов в высоконагруженных средах;
- удаленные и беспроводные офисы, включая устройства интернета вещей.
Согласно опросу Deloitte, 86% руководителей считают, что продвинутая беспроводная связь преобразит их организацию в течение трех лет, и 79% говорят то же самое о своей отрасли.
По данным The Verge, первые 316 млн мобильных устройств с поддержкой Wi-Fi 6E появятся уже в 2021 году. Ожидается, что 5G и Wi-Fi 6 будут не конкурировать, а взаимно дополнять друг друга — в зависимости от задач и типов устройств.
Как будет расти проникновение сетей 5G и Wi-Fi 6 в ближайшие три года
(Фото: Deloitte)
В России операторы потратят более 1,1 трлн руб. на развитие 5G с 2021 по 2027 год. Активное внедрение начнется с 2024 года, однако сроки могут быть сдвинуты из-за низкого спроса. А вот Wi-Fi 6 вряд ли заработает: частоты сети уже заняты фиксированной радиосвязью, а в будущем их могут передать под 5G.
TP-LINK в Украине — успех в условиях падающего рынка
Прошедший год оказался нелегким для экономики Украины в целом и для рынка потребительской электроники в частности (подробнее). Тем не менее компании удалось продать больше 900 тысяч единиц оборудования в 2015 году, увеличив общую инсталлированную базу устройств TP-LINK до 15 миллионов. Такие показатели были достигнуты в условиях значительного падения рынка и несмотря на агрессивную ценовую политику некоторых конкурентов.
В итоге TP-LINK даже удалось перевыполнить план, и фактический объем продаж по итогам года оказался несколько выше, чем прогнозировалось перед началом отчетного периода. А еще, у команды TP-LINK в Украине получилось обеспечить рост продаж в сегменте бизнес-устройств за счет успешного участия в открытых тендерах на поставку оборудования для корпоративных проектов.
Конечно, в 2015 году украинцы не могли позволить себе покупать дорогие устройства, поэтому основную долю продаж (более половины) составило беспроводное сетевое оборудование начального уровня, а именно, недорогие модели роутеров стоимостью 400-500 грн, которые использовались в основном для создания новой инфраструктуры подключения к сети Интернет.
Несмотря на кризисную ситуацию, в 2015 году компания вывела на рынок Украины новое оборудование — роутеры, точки доступа и адаптеры стандарта Wi-Fi 802.11ac, мобильные роутеры для работы в сетях 3G и внешние аккумуляторы различной ёмкости.
Некоторые обзоры нового оборудования TP-LINK вы можете прочитать на нашем сайте:
- Обзор двухдиапазонного маршрутизатора TP-LINK Archer C8
- Три причины приобрести роутер TP-LINK Archer C2
- Миниобзор Wi-Fi USB-адаптера TP-LINK Archer T4UH
- Обзор мобильного роутера TP-LINK M5350
- TP-LINK TL-PB10400 – экспресс-обзор портативного аккумулятора
Бренды будут быстрее осваивать новые каналы коммуникации
Соцсети, текстовые и голосовые форматы общения с нами надолго. История с Clubhouse показала, что иногда достаточно одной фразы, сказанной правильным человеком (Илон Маск и здесь «запустил ракету», но информационную), чтобы миллионы людей открыли для себя еще один способ коммуникации. Чем быстрее бренды адаптируются к новым каналам, тем успешнее они будут. Опыт прошлых лет показал, что на освоение YouTube и социальных сетей у многих из них уходило в среднем пять-десять лет, каналов в Telegram — около двух лет. С приложением Clubhouse время принятия решений сократилось до нескольких недель, а иногда счет шел и вовсе на дни. Теперь бренды, видя новые способы распространения информации, стремятся как можно быстрее использовать их для общения со своей аудиторией, минуя посредников.
Экономика образования
Clubhouse: что это такое и как он помогает в карьере
BBC
Британская широковещательная корпорация является самым уважаемым и компетентным английским радио-, интернет- и телересурсом. Для освещения событий лондонской олимпиады в рамках сети сайтов этой компании был создан специальный ресурс. На его главной странице, оформленной в популярном сегодня «плиточном» виде, расположены ссылки на последние новости, прямые трансляции, самые яркие моменты прошедших соревнований и прогнозы исхода будущих, фотогалереи и видеоотчеты. Стандартный набор функций вроде календаря соревнований и таблицы наград тоже, разумеется, присутствует.
Завышенные ожидания
О планах «ЭР-Телеком Холдинга» по запуску сети Интернета вещей (IoT) и активном развитии данного направления стало известно в 2017 году. Глава компании Андрей Кузяев на встрече с президентом Владимиром Путиным заявил, что клиентов оператора больше всего интересует возможность подсоединить к интернету утюг, чтобы знать, выключен он или включен, а также функции управления протечками. По его оценке, к 2022 году рынок Интернета вещей должен был вырасти в 40 раз, до 800 млрд рублей, а количество подключений в России к этому сроку достигло бы 700 млн.

Размах запущенной сети Long Range Wide Area Networks (LoRaWAN) по-настоящему впечатлял: 60 городов с населением более 300 тыс. по всей стране, более 700 закупленных базовых станций. Используя развернутую в России платформу ThingPark Wireless компании Actility, «ЭР-Телеком Холдинг» охватил большую часть европейской территории страны, а также города Дальнего Востока.
«Мы имеем полное outdoor-покрытие всех городов, и это позволит нам обеспечить необходимые сетевые решения», — заявлял Кузяев. Однако в Москве, Петербурге и Перми, по словам директора по маркетингу и монетизации инноваций «ЭР-Телеком Холдинга» Виктора Мазурика, компания установила indoor-покрытие, которое обеспечивает передачу данных внутри домов и зданий. Сеть также должна была охватить производственные площадки корпоративных клиентов оператора.
Компания рассчитывала привлечь к своим услугам государственные и муниципальные предприятия в рамках проектов «Умного города» и крупных корпоративных клиентов из сектора нефтегазовой и горнодобывающей промышленности, а также игроков рынка логистики. В дальнейшем предполагалось искать потребителей среди предприятий среднего и малого бизнеса, а также начать предлагать свои услуги физическим лицам.
Решение запустить первую в России IoT-сеть такого масштаба с туманными перспективами монетизации и без внятных бизнес-моделей вызвало определенный скепсис на рынке. «Пою оду мужеству “ЭР-Телекома”. Это серьезное решение — строить инфраструктуру, не до конца понимая, как ею будут пользоваться», — сомневался тогда глава Ассоциации интернета вещей Андрей Колесников, добавив, что те, кто построят первую федеральную сеть LoRaWAN, сумеют извлечь выгоду.
Вернуть инвестиции будет непросто
Представители «ЭР-Телеком Холдинга» принципиально не сообщают объем инвестиций в запуск федеральной сети Интернета вещей. На сайте компании Actility, оборудование которой использовал оператор, стоимость базовой станции для LoRaWAN составляет
около $3800. Если учесть, что на старте оператор планировал установить 700 базовых станций, то можно предположить, что первоначальная сумма вложений в развертывание IoT-сети начиналась с отметки $2-3 млн, а с учетом логистики, затрат на установку и обслуживание достигла десятков миллионов долларов.
Для оператора это существенные инвестиции, учитывая постоянно растущий чистый долг — на конец 2019 года он составил 44,4 млрд рублей. По словам аналитика рейтинговой компании Standard &Poor’s Антона Гейзе, рост чистого долга был компенсирован ростом прибыли по показателю OIBDA, таким образом долговая нагрузка компании (отражается соотношением прибыли к долгу, — прим. ред.) в 2019 году немного снизилась.
Тем не менее вернуть инвестиции в развертывание сети интернета вещей в текущей ситуации, усугубленной экономическим кризисом, оператору будет непросто. С учетом отставания развития рынка от первоначальных прогнозов для этого понадобится еще как минимум 3–5 лет.
Интернет, рынок сетевого оборудования Украины и место TP-Link в нем
Если вкратце — год был непростой, но у TP-Link все хорошо. Первая часть конференции была посвящена основной теме компании — интернету и сетевому оборудованию. От лица украинского офиса выступали Игорь Михалицин — руководитель по маркетингу и Юрий Полищук — руководитель отдела дистрибьюции.
Чем интересны мероприятия TP-Link, прежде всего — тут можно получить полезную статистическую информацию о состоянии украинского интернет-рынка. Не обошлось без таких данных и на этот раз. Например, прежде всего были показаны графики проникновение интернета, данные поквартальных и ежегодных замеров.
Из этих графиков видно, что фактический рост замедлился еще в начале 2016 года и практически сошел на нет — рынок уже не растет так стремительно, как было раньше, поэтому оборудование для новых абонентов продавать все труднее, фактически рынок переходит к замене старого оборудования, то есть периодическим обновлениям. Естественно, потребители стараются увеличить срок замены устройств и оттягивают подобную покупку, фактически старые роутеры эксплуатируются «пока не сломаются».
Тем не менее, количество клиентских устройств для доступа к сети в расчете на одного пользователя растет. У многих украинцев, помимо ПК, появляются ноутбуки, смартфоны и планшеты. Поэтому происходит качественный рост — часть потребителей меняет старое сетевое оборудование на более мощное, которое сможет выдержать возросшие нагрузки и обеспечить надлежащую скорость передачи данных для большего количества клиентских устройств.

В целом 2017 год закончился для TP-Link удачно. Компания сохранила значительную долю продаж сетевых устройств на глобальном рынке (около 45%), а в Украине эта доля составила целых 58% при росте 8% за прошедший год.
Продажи SMB-оборудования в количественном выражении выросли незначительно, всего на 1%, но в денежном эквиваленте рост составил 11% (в USD). И это в условиях, когда компания действует на территории Украины абсолютно прозрачно и выполняет все требования законодательства при ввозе, сертификации и таможенному оформлению продукции.
Вычисления как сервис
Модель «вычисления как услуга/сервис» (CaaS — Calculation As A Service) или периферийные вычисления — глобальный тренд, наряду с программным обеспечением как услуга (SaaS — Software As A Service), инфраструктурой как услуга (IaaS — Infrastructure As A Service) и платформой как услуга (PaaS — Platform As A Service). Типичный пример такой модели — онлайн-игры или онлайн-кинотеатры. Вы оплачиваете подписку, но сам контент не хранится у вас, а запускается онлайн на сервере поставщика услуг.
Компании приобретают доступ к облачным сервисам, чтобы экономить на ИТ-инфраструктуре и поддержке, а также не перегружать локальную сеть. Это позволяет быстро развернуть и протестировать новый онлайн-сервис или ПО, разместить виртуальную АТС и объемные базы данных. Пандемия заставила многих изменить бизнес-модель и перераспределить ИТ-ресурсы в сторону облачных сервисов.
На все готовое: как PaaS делают разработку приложений быстрее и доступнее
По данным Grand View Research, в 2019 рынок периферийных вычислений оценивался в $3,5 млрд. К 2027 он вырастет до $43,4 млрд. В этом поможет, в том числе, широкое распространение 5G и сокращение задержки сигнала вплоть до 1 мс. Согласно опросу Analysys Mason, ведущие компании планируют тратить до 30% своего ИТ-бюджета на периферийные облачные вычисления в ближайшие годы. Gartner прогнозирует, что к 2025 году 75% корпоративных данных будет обрабатываться именно таким способом. Это в 7,5 раз больше, чем в 2018-м.
IDC прогнозирует, что 25% компаний к 2024 году сделают бизнес гибче и устойчивее за счет интеграции периферийных данных с облачными приложениями. Развитию вычислений как услуги будут способствовать машинное обучение и искусственный интеллект. Они помогают распределять и оптимизировать мощности, чтобы обеспечить стабильную скорость обработки данных.
Столкновение с реальностью
Несмотря на в целом хорошие стартовые условия, компании пришлось столкнуться с реалиями рынка. У крупных нефтегазовых компаний уровня «Газпрома» есть собственные департаменты, занимающиеся разработкой и внедрением технологий промышленного Интернета вещей. Поэтому зайти на этот рынок оказалось непросто. А у предприятий меньшего масштаба часто нет необходимого бюджета на модернизацию своих устаревших производственных технологий.

Дальнейшее развитие корпоративного IoT-направления «ЭР-Телеком Холдинга» также ограничивает большая конкуренция со стороны сотовых операторов, предлагающих аналогичные услуги с поддержкой протокола NB-IoT. В итоге и без того небольшой рынок компании пришлось делить с «МегаФоном», МТС и «Билайном», обладающими, как правило, большим охватом сети и серьезным маркетинговым ресурсом.
В итоге «ЭР-Телеком Холдингу» потребовалось корректировать свои планы по объему выручки от предоставления IoT-услуг. По словам Андрея Кузяева, в 2019 году компания рассчитывала получить от Интернета вещей 1 млрд рублей, но в итоге сумма ожидаемой выручки снизилась в два раза — до 500 млн рублей.
В кулуарах Петербургского международного экономического форума глава «ЭР-Телеком Холдинга» говорил корреспонденту «Телеспутника», что пока отклик рынка не такой активный, как хотелось бы. «Мы изначально рассматривали этот проект как венчурный: очень разумно и рационально инвестировали. Мы видим отклик от рынка. Что нас разочаровывает — это не проблема рынка, это наша проблема. Мы, как всегда, хотели как можно быстрее и ожидали, что отклик рынка придет быстрее. Выяснилось, что интернет вещей — это оборудование, изменение бизнес-процессов, изменение культуры, достаточно длительные тестирования. Мы уже не снаружи технологических, управленческих и бизнес-процессов, а внутри. Есть проблема соответствия стандартов, и так далее», — рассказал Кузяев.
Прогнозы на 2019 год были гораздо оптимистичнее, чем реальные доходы, комментирует руководитель комитета LoRaWAN Ассоциации интернета вещей Евгений Луппов. «Хотя считаю, что к 500 миллионам рублей надо добавить еще столько же, так как решения по Интернету вещей стали тем secret sauce, который сделал “ЭР-Телеком” “вкуснее” в ряде тендеров и обеспечил им крупные заказы. В целом считаю, что в плане прогнозов Интернет вещей можно сравнить с электромобилями. Он пробивается медленно, но пробьет себе дорогу обязательно. Как во всем мире, так и в России. А пока — отставание от прогнозов на 2-3 года», — добавил эксперт.
Чтобы выйти из сложившейся ситуации «ЭР-Телеком Холдинг» начал активно развивать свое B2G-направление и участвовать в тендерах по проектам умного города. Как ранее говорил в интервью «Телеспутнику» Виктор Мазурик, с государственными заказчиками работать проще, спрос есть, и идут закупки, а B2B-направление «идет, но медленнее, чем хотелось бы».
К B2B-сектору в компании, в частности, относят ЖКХ-решения для управляющих компаний и владельцев зданий. По словам Мазурика, они в основном связаны с мониторингом технологических люков, дверей и микроклимата помещений. Но число подобных реализованных проектов пока невелико, речь идет в основном о тестировании и запуске пилотов.
С государственными заказами тоже не все очевидно. В 2018 году «ЭР-Телеком Холдинг» реализовал пилотный проект умного городского освещения для петербургской организации «Ленсвет». Он должен был стать одним из первых шагов к созданию инфраструктуры уличной цифровой экосистемы города. «Умный свет» установили на одной из улиц Васильевского острова, технология была успешно протестирована, но дальнейшего распространения не получила. В 2020 году Смольный сократил расходы городского бюджета на 50,6 млрд рублей. Очевидно, что аналогичные проекты по умному городу в Северной столице и других российских городах из-за неблагоприятной экономической обстановки будут свернуты до лучших времен.
Ближайшие перспективы отрасли
Несмотря на проблемы потребителей и производителей электроники, вызванные дефицитом чипов, полупроводниковая индустрия рапортует о росте продаж и полной загруженности производственных линий.
В «Сколтехе» с помощью высокопроизводительных вычислений создали ранее неизвестные материалы
Интеграция
По словам Харлана Сура (Harlan Sur), аналитика J.P. Morgan, последний квартал 2020 г. стал первым, когда все производители микросхем не только выполнили, но и превзошли все квартальные прогнозы. Так, в AMD ожидают очень мощного старта в 2021 г. вместе с анонсом новых процессоров для ноутбуков и центров обработки данных. В Qualcomm также ожидают хороших квартальных результатов – несмотря на прогнозируемый дефицит.
По мнению Кристофера Ролланда (Christopher Rolland), финансового аналитика компании Susquehanna, к весне дефицит чипов только усилится, при этом сроки исполнения заказов на поставку полупроводников могут выйти за пределы «опасной зоны» в 14 недель и превысить максимальные сроки, зарегистрированные во времена последнего «бума чипов» в 2018 г.
По мнению аналитика, оценка краткосрочных перспектив для производителей полупроводников на фоне ажиотажного спроса и роста акций может выглядеть привлекательной – тем более, что большинство аналитиков рынка производят оценку развития рынка только на несколько ближайших кварталов. Тем не менее, в долгосрочной перспективе эта тенденция может стать неуправляемой и иметь неприятные последствия даже для поставщиков чипов.
По словам Ролланда, для полупроводниковой индустрии еще памятны события трехлетней давности. Тогда на рынке образовался кризис перепроизводства вследствие больших складских запасов, которые заказчики, напуганные «бумом чипов» 2018 г., делали для удержания низких цен. В итоге произошел резкий обвал спроса, оставивший производителей с огромными запасами и резко упавшим курсом акций, при этом перенасыщение рынка отразилось на Nvidia, Micron Technology, AMD и других крупных игроках отрасли.
Компании, в которых помнят об обвале конца 2018 г., стараются избежать нового обвала и по-своему противостоят проблеме дефицита. Так, в середине февраля 2021 г. CNews рассказал о планах Nvidia отключить в некоторых игровых видеокартах линейки GeForce поддержку ряда функций для майнинга криптовалют чтобы выровнять ситуацию с дефицитом карт на мировом рынке.
GPT-3
На сегодняшний день самая совершенная нейросеть на базе NLP (то есть, алгоритмов распознавания текста) — GPT-3. Это нейросеть-трансформер, которая способна генерировать связные ответы в диалоге с человеком. Объем используемых ей данных и параметров в 100 раз превосходит предыдущее поколение — GPT-2.
Однако даже самые продвинутые трансформеры, обученные на огромных массивах данных не понимают смысла слов и фраз, которые они генерируют. Для их обучения нужны огромные массивы данных и вычислительные ресурсы, которые, в свою очередь, оставляют большой углеродный след. Еще одна проблема — несовершенство датасетов для обучения нейронных сетей: тексты в интернете часто содержат искажения, манипуляции и откровенные фейки.
«Заходит в бар Илон Маск»: нейросеть GPT-3 научили рассказывать анекдоты
Одно из самых перспективных направлений в развитии ИИ и нейросетей — это расширение диапазона восприятия. Сейчас алгоритмы умеют распознавать изображения, лица, отпечатки пальцев, звуки и голос. Они также умеют говорить и генерировать изображения и видео, имитируя наше восприятие разных органов чувств. Ученые MIT отмечают: чтобы приблизиться к человеку ИИ не хватает эмоционального интеллекта и чувств. В отличие от ИИ, человек умеет не только обрабатывать информацию и выдавать готовые решения, но и учитывать контекст, множество внешних и внутренних факторов, а главное — действовать в условиях неопределенности и меняющейся среды. Например, алгоритм AlphaGo от компании DeepMind способен обыграть чемпиона мира по го и шахматам, но все еще не может расширить свою стратегию за пределы доски.
Пока что даже самые продвинутые алгоритмы, включая GPT-3, находятся лишь на пути к этому. Сейчас перед разработчиками стоит задача создать мультимодальные системы, которые бы объединили распознавание текста и сенсорное восприятие для обработки информации и поиска решений.
На что способна нейросеть GPT-3
Сотрутся границы между нативной рекламой и «настоящими журналистскими материалами»
В 2013 году стала популярна модель PESO — формат стратегического планирования интегрированных маркетинговых коммуникаций. Она заключается в разработке единой коммуникационной стратегии для четырех каналов:
- Paid (оплаченные публикации);
- Earned (заработанные каналы);
- Shared (социальные медиа);
- Owned (собственные каналы).
В течение следующих пяти лет вырастет роль оплаченных публикаций. Как бы ни было стыдно старой гвардии «белых пиарщиков», увеличится количество спонсорских выходов. Сегодня это вопрос выживания — площадкам постоянно требуется финансовая подпитка, и бренды могут ее дать.
Прямая реклама тоже работает, но ее недостаточно, чтобы увлечь целевую аудиторию. Иногда у клиента просто нет времени на настоящую медиа-работу, но требуется срочно «закрыть дыру». Со своей стороны, издания и агентства попытаются сделать так, чтобы рекламный контент еще более органично вписывался в контекст, был более нативным. Когда границы между рекламой и PR размоются еще больше, только эксперты рынка смогут уловить разницу между ними.
Планы TP-LINK на 2016 год
Основные усилия в текущем году, помимо традиционного выпуска устройств для обеспечения бесшовного клиентского интернет-подключения, TP-LINK направит на развитие идеи «умного дома», где высокоскоростной производительный роутер будет служить центром коммуникаций между различным бытовым электрооборудованием — умными лампочками, переключателями и розетками, а также системами безопасности и видеонаблюдения. Управление всеми устройствами будет обеспечиваться через локальную сетевую инфраструктуру и удаленно — при помощи облачных решений.
Некоторые модели новых устройств уже представлены компанией на проходящей в данное время выставке MWC 2016 в Барселоне:
TP-LINK на MWC 2016: облачная камера, Wi-Fi лампы и мобильный роутер со скоростью до 600 Мбит/с
Кроме того на киевском мероприятии был анонсирован выход TP-LINK на рынок смартфонов под брендом Neffos, и хотя подробности проекта пока не были озвучены, но нам обещали, что это событие произойдет очень скоро.
Усилится конкуренция между фрилансерами и агентствами
Пандемия стала мощным драйвером роста рынка PR-фриланса. В 2020 году портал FL.ru, IT-холдинг TalentTech и НИУ ВШЭ исследовали рынок фриланса и выяснили, что 13% компаний из сферы рекламы, маркетинга и PR регулярно пользуются услугами фрилансеров. Очевидно, их доля будет расти и дальше, а мы станем свидетелями кардинального перераспределения сил на рынке массовых коммуникаций. Одновременно появятся новые модели взаимодействия между клиентами, агентствами, журналистами и независимыми фрилансерами.
Пиарщики и журналисты, вдохновленные успешными примерами у коллег из других индустрий, будут также предлагать свои услуги на свободном рынке. Отчасти этому способствует цифровизация в государственном секторе: стать ИП возможно за один день, не выходя из дома, а платить налоги и выставлять счета клиенту можно самостоятельно, не обращаясь за помощью к бухгалтеру. Пандемия, бесплатные и простые в использовании приложения для общения по видео (например, такие как Zoom), повышение лояльности к общению в онлайне, — все это привело к тому, что границы между государствами перестали восприниматься как ограничение, и сегодня как никогда легко нанять сотрудника из любой страны мира.
Экономика образования
Глава платформы T&P — о «виртуальном кулере» и социализации на удаленке
У агентства Altezza был опыт создания рабочей команды под проект, где клиент и аккаунт-группа находились в Москве, креативный директор (фрилансер) — в Амстердаме, а главный дизайнер (тоже фрилансер) — в Нью-Йорке. Уже есть успешные агентства «одного генерального директора», которые ведут несколько клиентов только с помощью проектных фрилансеров.
Значит ли это, что фрилансеры вскоре вытеснят PR-агентства? Нет, скорее это будет «coopetition» — сотрудничество в конкуренции. Другими словами, выживут те фрилансеры и агентства, которые научатся находить общие точки роста. Возможно, в ближайшем будущем мы увидим появление неких «творческих союзов», созданных под конкретные проекты и способных выигрывать тендеры. Но для продолжительного ведения клиента, вероятно, все-таки нужны будут системы и иерархии, которые трудно выстроить в равноправных партнерствах, поэтому здесь преимущество на стороне агентств.
Уход СМИ в сеть
Уход СМИ в цифровой формат вещания создал новые условия получения и распространения новостей, где главным источником коммуникаций является интернет. Главные атрибуты представляют цифровой способ передачи информации и интерактивность. Появление новых медиа на просторах интернета меняет работу журналистов и ведёт к пересмотру отношений между журналистами и их организациями.

На сегодняшний день, взаимосвязь участников коммуникационного процесса приобрела сетевой характер, где аудитория читателей и слушателей превращается в участников коммуникативного процесса. Подробнее…
Конвергентность СМИ
Конвергентная журналистика означает «объединение», где редакция работает над реализацией мультимедийного проекта. В ней совмещены все форматы такие как: фото, видео, инфографика и многое другое.
Главными принципами конвергентности СМИ в интернете считается то, что коллектив должен заниматься контентом. В нем нужно удовлетворять потребности различных читательских групп. Нужно создавать новые идеи для реализации контента.
Каким должен быть журналист в такой редакции? Журналисту всегда предстоит писать много различных материалов, при этом нужно понимать особенности написания контента в интернет-СМИ. Также нужно уметь работать с аудио и видео-графикой. Универсальный журналист должен иметь навыки работы в интернете. Подробнее…
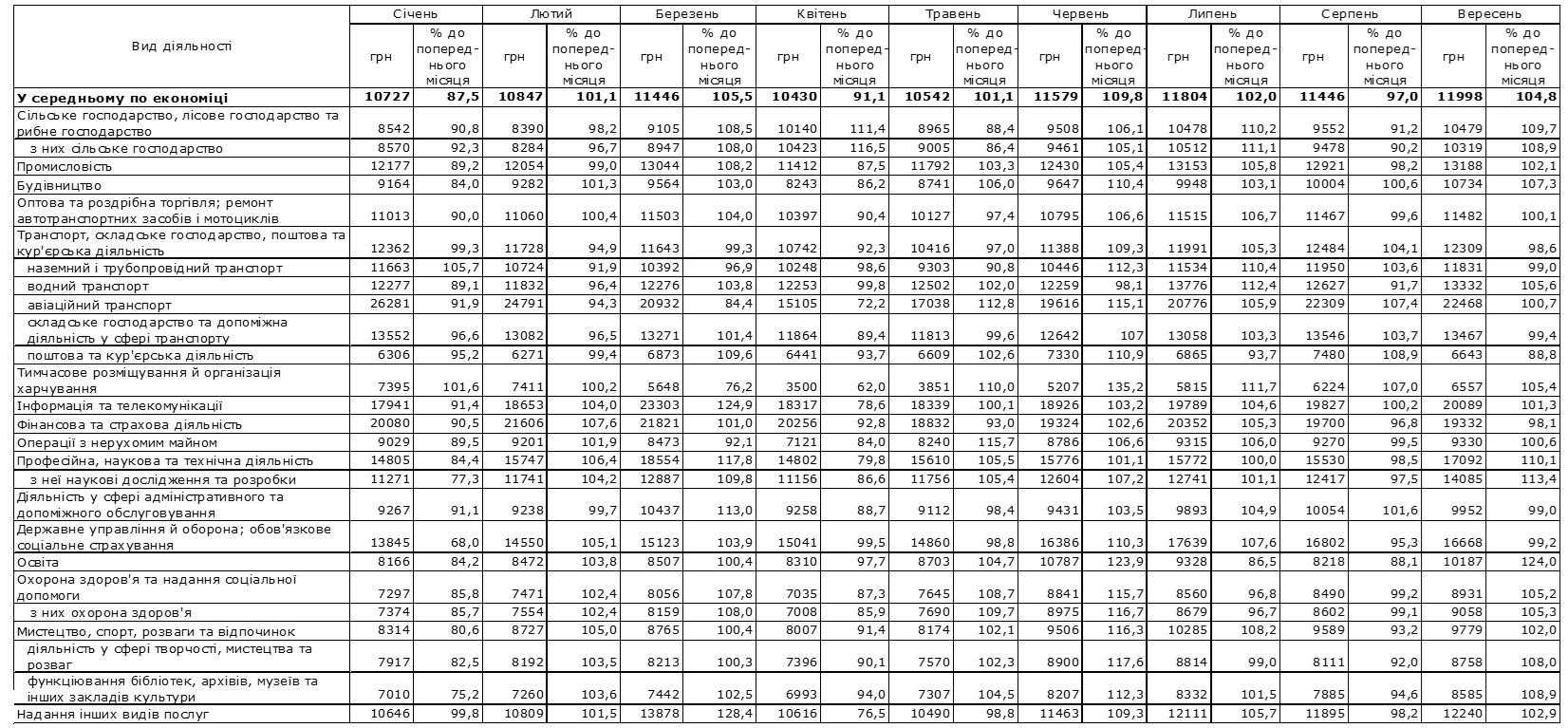
Средние зарплаты в Украине по отраслям 2020
Ожидать роста заработных плат в условиях пандемии не приходится, но вместе с тем в целом по экономике в трех месяцах 2020 года средняя заработная плата в Украине была выше к предыдущему месяцу (смотрите таблицу).
Как и во многих постсоветских странах самые высокие зарплаты в Украине демонстрируют отрасли информация и телекоммуникации (по сути- связь и передача данных, мобильные операторы, Интернет и создание программных продуктов), авиационный транспорт (отчасти и водный транспорт), и конечно же в сфере госуправления и обороны, социального страхования. Несколько особняком стоят повышенные заработные платы в сфере научно- технической деятельности и ожидаемо в промышленности.
Только сочувствие могут вызвать средние заработные платы почтальонов, библиотекарей, работников культуры и искусства, развлечений, которые финансируются из бюджета.
Все остальное хорошо видно в представленной таблице статистики Украины за пять месяцев 2020 года.
А вот и за 9 месяцев (на украинском языке) -на следующей странице. Кстати, данные статистики Украины , начиная с конца осени- доступны уже только по подписке с регистрацией.
(Для просмотра, откройте в новой вкладке, на смартфоне -кликните и расширьте)

Далее об экономике и ВВП Украины в 2019 году и ранее. Заметим,что экономика Украины при П. Порошенко и В. Гройсмане за последние 2 года уверенно шла вверх. Смотрим показатели
3D-печать
Во время пандемии COVID-19 аддитивные технологии стали выгодной альтернативой традиционному производству, требующему огромных инвестиций и ресурсов. Еще одно весомое преимущество — значительно меньший уровень отходов.
По данным Grand View Research, объем мирового рынка 3D-печати в 2019 году оценивался в $11,58 млрд, а с 2020 по 2027 год его среднегодовой прирост составит более 14%. К 2027 году в мире будет 8 млн 3D-принтеров — почти в шесть раз больше, чем в 2018-м. 77% из них приходится на промышленные принтеры. С помощью 3D-печати уже создают одежду и обувь, предметы интерьера, механические детали и даже протезы. На 3D-принтерах печатают многие детали для двигателей Rutherford, устанавливаемых на ракете-носителе Electron.
Безопасно ли печатать двигатели самолетов на 3D-принтере
В медицине и здравоохранении на 3D-принтерах печатают кабели и другие детали для медицинского оборудования. Еще один удивительный эксперимент — 3D-печать фрагментов человеческих костей прямо в организме, вместо поврежденных или утраченных. Для этого используют специальные биосовместимые чернила.
Аддитивные технологии применяются в архитектуре: из отпечатанных деталей возводят целые каркасные дома, что делает их намного дешевле обычных аналогов. Как пишет The Guardian, в калифорнийской Коачелла Вэлли такими застроили целый микрорайон. Компания-застройщик Mighty Buildings утверждает, что это позволило сэкономить 95% рабочего времени строителей.
Выпуск YouTube-канала «Индустрии 4.0», посвященный строительству домов с помощью 3D-печати
Сейчас мы в шаге от того, чтобы использовать 3D-печать для создания необходимых объектов на поверхности Луны, используя для этого лунную пыль. Это позволит значительно упростить колонизацию спутника: не придется доставлять туда тяжелые грузы и технику.






















































